竞彩网
公司网站
繁體
无障碍阅读
新闻公告
通知公告
运营资讯
采购信息
乘客服务
乘车须知
失物招领
预约服务
政策法规
服务承诺
地铁票务
车票使用规则
票卡种类
票价查询
运营线路
线路信息
站点信息
运营时间
联系我们
关于我们
常见问题
互动交流
地铁e+
竞彩网
/
失物招领
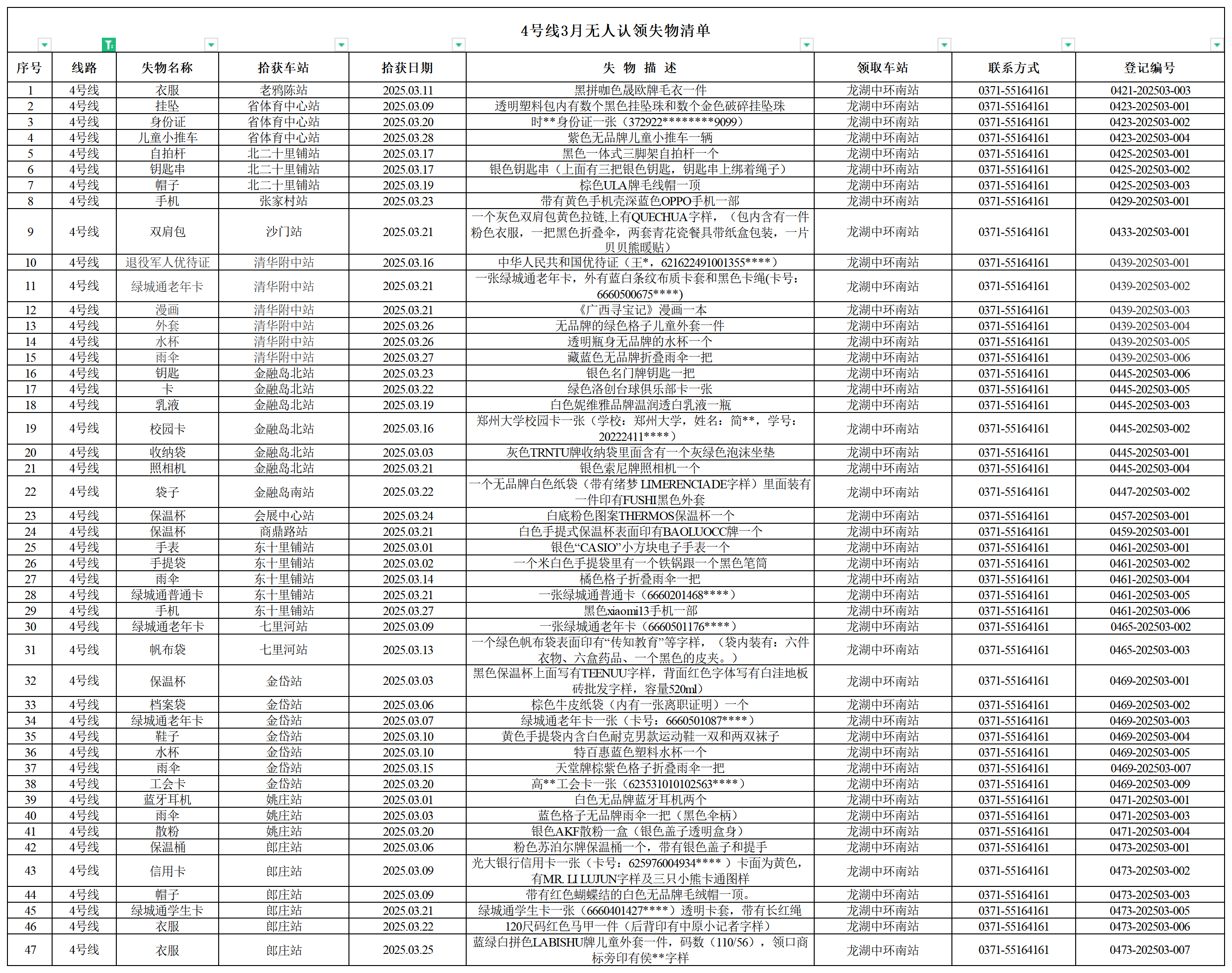
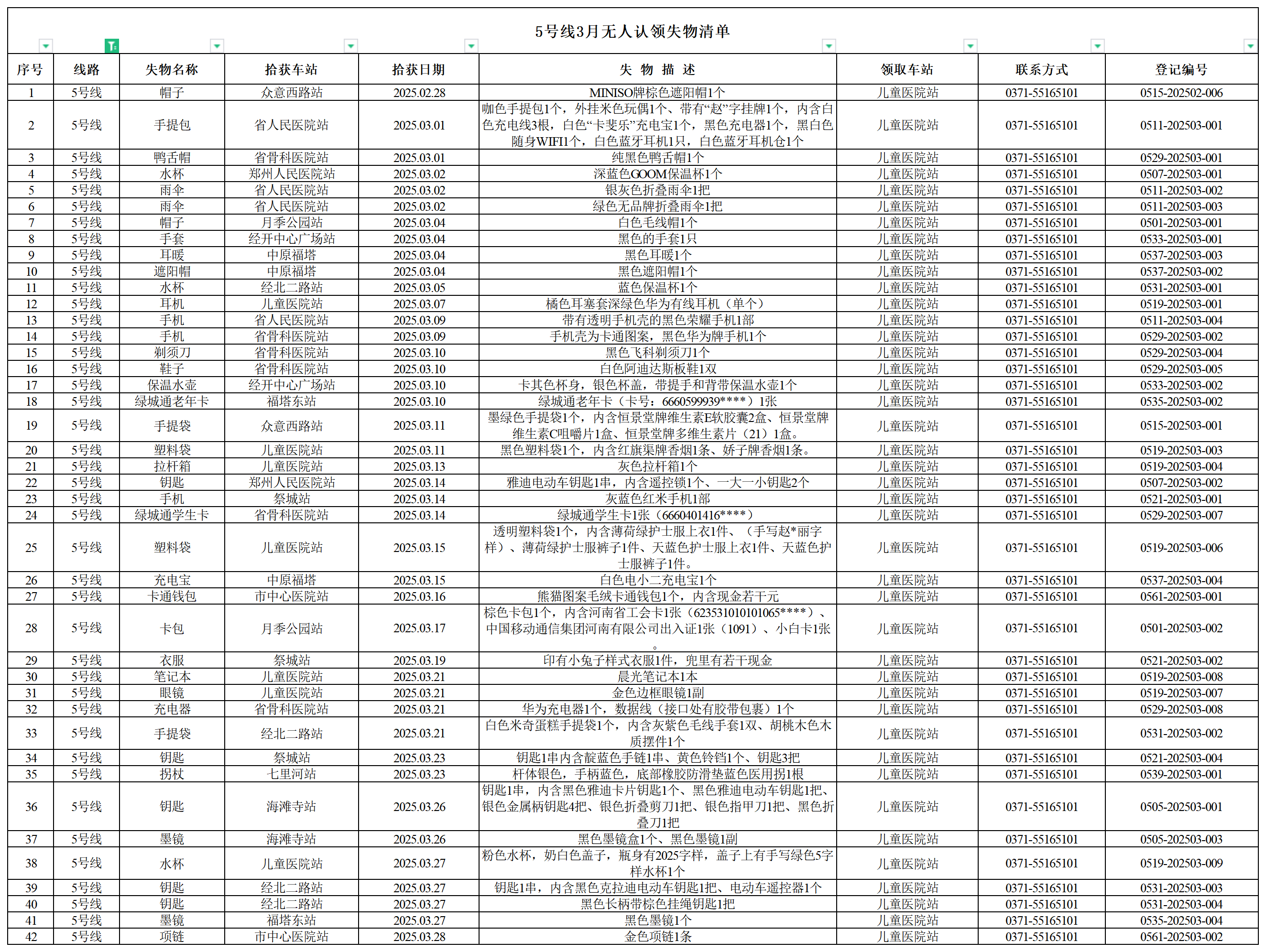
2025年2月28日—2025年3月28日车站无人认领失物情况
发布时间:2025-04-03 11:08
阅读次数:9683
注:本文转载自2025年2月28日—2025年3月28日车站无人认领失物情况,转载目的在于传递更多信息,并不代表本网赞同其观点和对其真实性负责。如有侵权行为,请联系我们,我们会及时删除。
上一篇:2025年1月28日—2025年...
下一篇:2025年3月28日—2025年...
新闻公告
政策法规
票卡种类
企业荣誉
领导关怀
失物招领
运营线路
运营公告
快速通达
砥砺奋进的五年
站内设施
培训
信息发布
活动风采
常见问题
返回竞彩网
返回顶部
0371-55166166
诚 物
征 资
生 供
产 应
性 商